torch.optim优化算法理解之optim.Adam()解读
目录
- optim.Adam()解读
- 优化步骤
- Adam算法
- 其公式如下
- 参数
- torch.optim.adam源码
- Adam的特点有
optim.Adam()解读
torch.optim是一个实现了多种优化算法的包,大多数通用的方法都已支持,提供了丰富的接口调用,未来更多精炼的优化算法也将整合进来。
为了使用torch.optim,需先构造一个优化器对象Optimizer,用来保存当前的状态,并能够根据计算得到的梯度来更新参数。
要构建一个优化器optimizer,你必须给它一个可进行迭代优化的包含了所有参数(所有的参数必须是变量s)的列表。 然后,您可以指定程序优化特定的选项,例如学习速率,权重衰减等。
optimizer = optim.SGD(model.parameters(), lr = 0.01, momentum=0.9) optimizer = optim.Adam([var1, var2], lr = 0.0001) self.optimizer_D_B = torch.optim.Adam(self.netD_B.parameters(), lr=opt.lr, betas=(opt.beta1, 0.999))
Optimizer还支持指定每个参数选项。 只需传递一个可迭代的dict来替换先前可迭代的Variable。dict中的每一项都可以定义为一个单独的参数组,参数组用一个params键来包含属于它的参数列表。
其他键应该与优化器接受的关键字参数相匹配,才能用作此组的优化选项。
optim.SGD([
{'params': model.base.parameters()},
{'params': model.classifier.parameters(), 'lr': 1e-3}
], lr=1e-2, momentum=0.9)
如上,model.base.parameters()将使用1e-2的学习率,model.classifier.parameters()将使用1e-3的学习率。0.9的momentum作用于所有的parameters。
优化步骤
所有的优化器Optimizer都实现了step()方法来对所有的参数进行更新,它有两种调用方法:
optimizer.step()
这是大多数优化器都支持的简化版本,使用如下的backward()方法来计算梯度的时候会调用它。
for input, target in dataset: optimizer.zero_grad() output = model(input) loss = loss_fn(output, target) loss.backward() optimizer.step()
optimizer.step(closure)
一些优化算法,如共轭梯度和LBFGS需要重新评估目标函数多次,所以你必须传递一个closure以重新计算模型。 closure必须清除梯度,计算并返回损失。
for input, target in dataset: def closure(): optimizer.zero_grad() output = model(input) loss = loss_fn(output, target) loss.backward() return loss optimizer.step(closure)
Adam算法
adam算法来源:Adam: A Method for Stochastic Optimization
Adam(Adaptive Moment Estimation)本质上是带有动量项的RMSprop,它利用梯度的一阶矩估计和二阶矩估计动态调整每个参数的学习率。它的优点主要在于经过偏置校正后,每一次迭代学习率都有个确定范围,使得参数比较平稳。
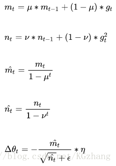
其公式如下

其中,前两个公式分别是对梯度的一阶矩估计和二阶矩估计,可以看作是对期望E|gt|,E|gt^2|的估计;
公式3,4是对一阶二阶矩估计的校正,这样可以近似为对期望的无偏估计。可以看出,直接对梯度的矩估计对内存没有额外的要求,而且可以根据梯度进行动态调整。
最后一项前面部分是对学习率n形成的一个动态约束,而且有明确的范围。
class torch.optim.Adam(params, lr=0.001, betas=(0.9, 0.999), eps=1e-08, weight_decay=0)
参数
params(iterable):可用于迭代优化的参数或者定义参数组的dicts。lr (float, optional):学习率(默认: 1e-3)betas (Tuple[float, float], optional):用于计算梯度的平均和平方的系数(默认: (0.9, 0.999))eps (float, optional):为了提高数值稳定性而添加到分母的一个项(默认: 1e-8)weight_decay (float, optional):权重衰减(如L2惩罚)(默认: 0)step(closure=None)函数:执行单一的优化步骤closure (callable, optional):用于重新评估模型并返回损失的一个闭包
torch.optim.adam源码
import math from .optimizer import Optimizer class Adam(Optimizer): def __init__(self, params, lr=1e-3, betas=(0.9, 0.999), eps=1e-8,weight_decay=0): defaults = dict(lr=lr, betas=betas, eps=eps,weight_decay=weight_decay) super(Adam, self).__init__(params, defaults) def step(self, closure=None): loss = None if closure is not None: loss = closure() for group in self.param_groups: for p in group['params']: if p.grad is None: continue grad = p.grad.data state = self.state[p] # State initialization if len(state) == 0: state['step'] = 0 # Exponential moving average of gradient values state['exp_avg'] = grad.new().resize_as_(grad).zero_() # Exponential moving average of squared gradient values state['exp_avg_sq'] = grad.new().resize_as_(grad).zero_() exp_avg, exp_avg_sq = state['exp_avg'], state['exp_avg_sq'] beta1, beta2 = group['betas'] state['step'] += 1 if group['weight_decay'] != 0: grad = grad.add(group['weight_decay'], p.data) # Decay the first and second moment running average coefficient exp_avg.mul_(beta1).add_(1 - beta1, grad) exp_avg_sq.mul_(beta2).addcmul_(1 - beta2, grad, grad) denom = exp_avg_sq.sqrt().add_(group['eps']) bias_correction1 = 1 - beta1 ** state['step'] bias_correction2 = 1 - beta2 ** state['step'] step_size = group['lr'] * math.sqrt(bias_correction2) / bias_correction1 p.data.addcdiv_(-step_size, exp_avg, denom) return loss
Adam的特点有
1、结合了Adagrad善于处理稀疏梯度和RMSprop善于处理非平稳目标的优点;
2、对内存需求较小;
3、为不同的参数计算不同的自适应学习率;
4、也适用于大多非凸优化-适用于大数据集和高维空间。
以上为个人经验,希望能给大家一个参考,也希望大家多多支持我们。
