Python线性网络实现分类糖尿病病例
目录
- 1. 加载数据集
- 2. 搭建网络+优化器
- 3. 训练网络
- 4. 代码
1. 加载数据集
这次我们搭建一个小小的多层线性网络对糖尿病的病例进行分类
首先先导入需要的库文件

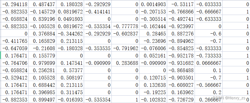
先来看看我们的数据集

观察可以发现,前八列是我们的feature ,根据这八个特征可以判断出病人是否得了糖尿病。所以最后一列是1,0 的一个二分类问题
我们使用numpy 去导入数据集,delimiter 是定义分隔符,这里我们用逗号(,)分割

将前八列的特征放到我们的x_data里面,作为特征输入,最后一列放到y_data作为label
Tip :这里y_data 里面的 [-1] 中括号不可以省略,否则y_data会变成向量的形式
如果不习惯这种写法,可以用view改变一下形状就行
y_data = torch.from_numpy(xy[:,-1]).view(-1,1) #将y_data 的代码改成这样就可以了
下面是xy , x_data , y_data 打印出前两行的结果


2. 搭建网络+优化器
搭建网络的时候,要保证两层网络之间的维数能对应上
首先第一层的时候,因为前八列作为我们的x_data ,也就是说我们输入的特征是 8 维度的,那么由于 y = x * wT + b ,因为输入数据的x是(n * 8) 的,而我们定义的y维度是(n * 6) ,所以wT的维度应该是(8,6)
这里不需要知道啥时候转置,啥时候不转置之类的,只要满足线性的方程y = w*x+b,并且维度一致就行了。因为不管是转置,或者w和x谁在前,只是为了保证满足矩阵相乘而已
一个小的技巧就是:只需要看输入特征是多少,然后保证第一层第一个参数对应就行了,然后第一层第二个参数是想输出的维度。其次是第二层的第一个参数对应第一层第二个参数,以此类推....

我们采用的激活函数是ReLU , 由于是二元分类,最后一个网络的输出我们采用sigmoid输出
接下来,搭建实例化我们的网络,然后建立优化器
这里我们选择SGD随机梯度下降算法,学习率设置为0.01

3. 训练网络

训练网络的过程较为简单,大概的过程为
1. 计算预测值
2. 计算损失函数
3. 反向传播,之前要进行梯度清零
4. 梯度更新
5. 重复这个过程,epoch 为所有样本计算一次的周期,这次让epoch 迭代1000次
4. 代码
import torch.nn as nn # 神经网络库
import matplotlib.pyplot as plt # 绘图
import torch # 张量
from torch import optim # 优化器库
import numpy as np # 数据处理
xy = np.loadtxt('./diabetes.csv.gz',delimiter=',',dtype=np.float32) # 加载数据集
x_data = torch.from_numpy(xy[:,:-1]) # 所有行,除了最后一列的元素
y_data = torch.from_numpy(xy[:,-1]).view(-1,1) # -1也能拿出来是向量,但是[-1]会保证拿出来的是个矩阵
epoch_list =[]
loss_list = []
class Model(nn.Module):
def __init__(self):
super(Model,self).__init__()
self.linear1 = nn.Linear(8,6)
self.linear2 = nn.Linear(6,3)
self.linear3 = nn.Linear(3,1)
self.sigmoid = nn.Sigmoid()
self.relu = nn.ReLU()
def forward(self,x):
x = self.relu(self.linear1(x))
x = self.relu(self.linear2(x))
x = self.sigmoid(self.linear3(x))
return x
model = Model()
criterion = nn.BCELoss()
optimizer = optim.SGD(model.parameters(),lr =0.01)
for epoch in range(1000):
y_pred = model(x_data)
loss = criterion(y_pred,y_data) # 计算损失
if epoch % 100 ==0: # 每隔100次打印一下
print(epoch,loss.item())
#back propagation
optimizer.zero_grad() # 梯度清零
loss.backward() # 反向传播
optimizer.step() # 梯度更新
epoch_list.append(epoch)
loss_list.append(loss.item())
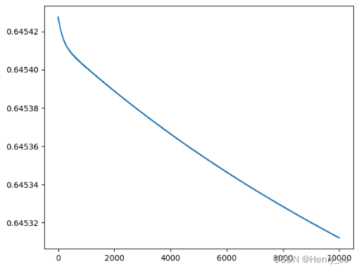
plt.plot(epoch_list,loss_list)
plt.show()
输出结果为:


到此这篇关于Python线性网络实现分类糖尿病病例的文章就介绍到这了,更多相关Python线性网络内容请搜索我们以前的文章或继续浏览下面的相关文章希望大家以后多多支持我们!
