C#实现FFT(递归法)的示例代码
目录
- 1. C#实现复数类
- 2. 递归法实现FFT
- 3. 补充:窗函数
1. C#实现复数类
我们在进行信号分析的时候,难免会使用到复数。但是遗憾的是,C#没有自带的复数类,以下提供了一种复数类的构建方法。
复数相比于实数,可以理解为一个二维数,构建复数类,我们需要实现以下这些内容:
- 复数实部与虚部的属性
- 复数与复数的加减乘除运算
- 复数与实数的加减乘除运算
- 复数取模
- 复数取相位角
- 欧拉公式(即eix+y)
C#实现的代码如下:
public class Complex
{
double real;
double imag;
public Complex(double x, double y) //构造函数
{
this.real = x;
this.imag = y;
}
//通过属性实现对复数实部与虚部的单独查看和设置
public double Real
{
set { this.real = value; }
get { return this.real; }
}
public double Imag
{
set { this.imag = value; }
get { return this.imag; }
}
//重载加法
public static Complex operator +(Complex c1, Complex c2)
{
return new Complex(c1.real + c2.real, c1.imag + c2.imag);
}
public static Complex operator +(double c1, Complex c2)
{
return new Complex(c1 + c2.real, c2.imag);
}
public static Complex operator +(Complex c1, double c2)
{
return new Complex(c1.Real + c2, c1.imag);
}
//重载减法
public static Complex operator -(Complex c1, Complex c2)
{
return new Complex(c1.real - c2.real, c1.imag - c2.imag);
}
public static Complex operator -(double c1, Complex c2)
{
return new Complex(c1 - c2.real, -c2.imag);
}
public static Complex operator -(Complex c1, double c2)
{
return new Complex(c1.real - c2, c1.imag);
}
//重载乘法
public static Complex operator *(Complex c1, Complex c2)
{
double cr = c1.real * c2.real - c1.imag * c2.imag;
double ci = c1.imag * c2.real + c2.imag * c1.real;
return new Complex(Math.Round(cr, 4), Math.Round(ci, 4));
}
public static Complex operator *(double c1, Complex c2)
{
double cr = c1 * c2.real;
double ci = c1 * c2.imag;
return new Complex(Math.Round(cr, 4), Math.Round(ci, 4));
}
public static Complex operator *(Complex c1, double c2)
{
double cr = c1.Real * c2;
double ci = c1.Imag * c2;
return new Complex(Math.Round(cr, 4), Math.Round(ci, 4));
}
//重载除法
public static Complex operator /(Complex c1, Complex c2)
{
if (c2.real == 0 && c2.imag == 0)
{
return new Complex(double.NaN, double.NaN);
}
else
{
double cr = (c1.imag * c2.imag + c2.real * c1.real) / (c2.imag * c2.imag + c2.real * c2.real);
double ci = (c1.imag * c2.real - c2.imag * c1.real) / (c2.imag * c2.imag + c2.real * c2.real);
return new Complex(Math.Round(cr, 4), Math.Round(ci, 4)); //保留四位小数后输出
}
}
public static Complex operator /(double c1, Complex c2)
{
if (c2.real == 0 && c2.imag == 0)
{
return new Complex(double.NaN, double.NaN);
}
else
{
double cr = c1 * c2.Real / (c2.imag * c2.imag + c2.real * c2.real);
double ci = -c1 * c2.imag / (c2.imag * c2.imag + c2.real * c2.real);
return new Complex(Math.Round(cr, 4), Math.Round(ci, 4)); //保留四位小数后输出
}
}
public static Complex operator /(Complex c1, double c2)
{
if (c2 == 0)
{
return new Complex(double.NaN, double.NaN);
}
else
{
double cr = c1.Real / c2;
double ci = c1.imag / c2;
return new Complex(Math.Round(cr, 4), Math.Round(ci, 4)); //保留四位小数后输出
}
}
//创建一个取模的方法
public static double Abs(Complex c)
{
return Math.Sqrt(c.imag * c.imag + c.real * c.real);
}
//创建一个取相位角的方法
public static double Angle(Complex c)
{
return Math.Round(Math.Atan2(c.real, c.imag), 6);//保留6位小数输出
}
//重载字符串转换方法,便于显示复数
public override string ToString()
{
if (imag >= 0)
return string.Format("{0}+i{1}", real, imag);
else
return string.Format("{0}-i{1}", real, -imag);
}
//欧拉公式
public static Complex Exp(Complex c)
{
double amplitude = Math.Exp(c.real);
double cr = amplitude * Math.Cos(c.imag);
double ci = amplitude * Math.Sin(c.imag);
return new Complex(Math.Round(cr, 4), Math.Round(ci, 4));//保留四位小数输出
}
}
2. 递归法实现FFT
以下的递归法是基于奇偶分解实现的。
奇偶分解的原理推导如下:

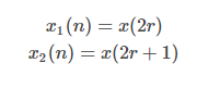
x(2r)和x(2r+1)都是长度为N/2−1的数据序列,不妨令

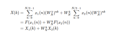
则原来的DFT就变成了:

于是,将原来的N点傅里叶变换变成了两个N/2点傅里叶变换的线性组合。
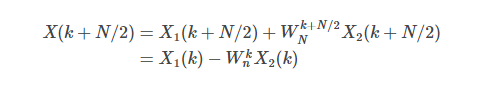
但是,N/2点傅里叶变换只能确定N/2个频域数据,另外N/2个数据怎么确定呢?
因为X1(k)和X2(k)周期都是N/2,所以有

从而得到:

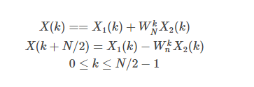
综上,我们就可以得到递归法实现FFT的流程:
1.对于每组数据,按奇偶分解成两组数据
2.两组数据分别进行傅里叶变换,得到X1(k)和X2(k)
3.总体数据的X(k)由下式确定:

4.对上述过程进行递归
具体代码实现如下:
public Complex[] FFTre(Complex[] c)
{
int n = c.Length;
Complex[] cout = new Complex[n];
if (n == 1)
{
cout[0] = c[0];
return cout;
}
else
{
double n_2_f = n / 2;
int n_2 = (int)Math.Floor(n_2_f);
Complex[] c1 = new Complex[n / 2];
Complex[] c2 = new Complex[n / 2];
for (int i = 0; i < n_2; i++)
{
c1[i] = c[2 * i];
c2[i] = c[2 * i + 1];
}
Complex[] c1out = FFTre(c1);
Complex[] c2out = FFTre(c2);
Complex[] c3 = new Complex[n / 2];
for (int i = 0; i < n / 2; i++)
{
c3[i] = new Complex(0, -2 * Math.PI * i / n);
}
for (int i = 0; i < n / 2; i++)
{
c2out[i] = c2out[i] * Complex.Exp(c3[i]);
}
for (int i = 0; i < n / 2; i++)
{
cout[i] = c1out[i] + c2out[i];
cout[i + n / 2] = c1out[i] - c2out[i];
}
return cout;
}
}
3. 补充:窗函数
顺便提供几个常用的窗函数:
- Rectangle
- Bartlett
- Hamming
- Hanning
- Blackman
public class WDSLib
{
//以下窗函数均为periodic
public double[] Rectangle(int len)
{
double[] win = new double[len];
for (int i = 0; i < len; i++)
{
win[i] = 1;
}
return win;
}
public double[] Bartlett(int len)
{
double length = (double)len - 1;
double[] win = new double[len];
for (int i = 0; i < len; i++)
{
if (i < len / 2) { win[i] = 2 * i / length; }
else { win[i] = 2 - 2 * i / length; }
}
return win;
}
public double[] Hamming(int len)
{
double[] win = new double[len];
for (int i = 0; i < len; i++)
{
win[i] = 0.54 - 0.46 * Math.Cos(Math.PI * 2 * i / len);
}
return win;
}
public double[] Hanning(int len)
{
double[] win = new double[len];
for (int i = 0; i < len; i++)
{
win[i] = 0.5 * (1 - Math.Cos(2 * Math.PI * i / len));
}
return win;
}
public double[] Blackman(int len)
{
double[] win = new double[len];
for (int i = 0; i < len; i++)
{
win[i] = 0.42 - 0.5 * Math.Cos(Math.PI * 2 * (double)i / len) + 0.08 * Math.Cos(Math.PI * 4 * (double)i / len);
}
return win;
}
}
以上就是C#实现FFT(递归法)的示例代码的详细内容,更多关于C# FFT递归法的资料请关注我们其它相关文章!
赞 (0)
