Java数据结构之快速幂的实现
目录
- 引入
- 具体方法
- 代码实现
- 题目
- 矩阵快速幂
- 斐波那契数列
- 第 N 个泰波那契数
- 统计元音字母序列的数目
引入
快速幂是用来解决求幂运算的高效方式。
例如我们要求 x 的 90 次方,一般的方法可以通过一个循环,每次乘一个 x,循环 90 次之后就可以得到答案,时间复杂度为 O(n),效率较低。而通过快速幂,我们可以在 O(log(n)) 的时间复杂度内完成该运算。
具体方法
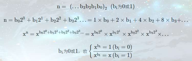
我们可以通过二进制的视角来看待幂运算。
要计算的是 xn,把 n 以二进制的形式展开。

所以,只需要使用一个循环求 n 的二进制的每一位,每次一循环中,如果该二进制位为 0,则不需要乘;如果该二进制位为 1,则需要乘 x。且每一次循环中都执行 x *= x,可以一次获取 x 的不同幂次。
代码实现
public static double getPower(double x, int n) {
if(x == 0) return 0;
if(n < 0) { // x^(-a) = (1/x)^a
x = 1/x;
n = -n;
}
double res = 1.0;
while(n > 0) {
if((n & 1) == 1) {
res *= x;
}
x *= x;
n >>= 1;
}
return res;
}
题目
Pow(x, n)题目内容如下
实现 pow(x, n) ,即计算 x 的 n 次幂函数(即,xn )。
示例 1:
输入:x = 2.00000, n = 10
输出:1024.00000
示例 2:
输入:x = 2.10000, n = 3
输出:9.26100
示例 3:
输入:x = 2.00000, n = -2
输出:0.25000
解释:2-2 = 1/22 = 1/4 = 0.25
提示:
-100.0 < x < 100.0
-231 <= n <= 231-1
-104 <= xn <= 104
实现代码
class Solution {
public double myPow(double x, int n) {
long exp = n; // 特殊处理:补码表示的负数最小值的相反数超过 Integer 表示范围,故提高数据表示范围
if(x == 0.0) return 0.0;
if(n < 0) {
x = 1/x;
exp = -exp;
}
double res = 1.0;
while(exp > 0) {
if((exp & 1) == 1) res *= x;
x *= x;
exp >>= 1;
}
return res;
}
}
矩阵快速幂
斐波那契数列


解:找到一种递推关系,满足矩阵乘法。
f(n) = f(n - 1) + f(n - 2),将其依赖的状态存成列向量

目标值 f(n) 所在矩阵为:

下面关键就是找到这两个矩阵直接满足的一个关系,知道系数矩阵 mat

则令

我们就成功找到了系数矩阵。
下面可以求得递推关系式:

对于 mat 可以通过快速幂求得结果。
class Solution {
int mod = (int)1e9+7;
public int fib(int n) {
if(n <= 1) return n;
long[][] mat = new long[][]{
{1, 1},
{1, 0}
};
long[][] ans = new long[][]{
{1},
{0}
};
int count = n - 1;
while(count > 0) {
if((count & 1) == 1) ans = mul(mat, ans); // 注意矩阵乘法顺序,不满足交换律
mat = mul(mat, mat);
count >>= 1;
}
return (int)(ans[0][0] % mod);
}
public long[][] mul(long[][] a, long[][] b) {
// 矩阵乘法,新矩阵的行数 = a的行数rowa,列数 = b的列数colb
// a矩阵的列数 = b矩阵的行数 = common
int rowa = a.length, colb = b[0].length, common = b.length;
long[][] ans = new long[rowa][colb];
for (int i = 0; i < rowa; i++) {
for (int j = 0; j < colb; j++) {
for (int k = 0; k < common; k++) {
ans[i][j] += a[i][k] * b[k][j];
ans[i][j] %= mod;
}
}
}
return ans;
}
}
第 N 个泰波那契数


解:



对于 mat 的幂运算可以使用快速幂
class Solution {
public int tribonacci(int n) {
if(n == 0) return 0;
if(n == 1 || n == 2) return 1;
int[][] mat = new int[][]{
{1, 1, 1},
{1, 0, 0},
{0, 1, 0}
};
int[][] ans = new int[][]{
{1},
{1},
{0}
};
int count = n - 2;
while(count > 0) {
if((count & 1) == 1) ans = mul(mat, ans);
mat = mul(mat, mat);
count >>= 1;
}
return ans[0][0];
}
public int[][] mul(int[][] a, int[][] b) {
int rowa = a.length;
int colb = b[0].length;
int common = b.length;
int[][] ans = new int[rowa][colb];
for(int i = 0; i < rowa; i++) {
for(int j = 0; j < colb; j++) {
for(int k = 0; k < common; k++) {
ans[i][j] += a[i][k] * b[k][j];
}
}
}
return ans;
}
}
统计元音字母序列的数目


提示:1 <= n <= 2 * 10^4
解:题目中给定的字符的下一个字符的规则如下:
字符串中的每个字符都应当是小写元音字母 (‘a’,‘e’,‘i’,‘o’,‘u’);
- 每个元音 ‘a’ 后面都只能跟着 ‘e’;
- 每个元音 ‘e’ 后面只能跟着 ‘a’ 或者是 ‘a’;
- 每个元音 ‘i’ 后面不能再跟着另一个 ‘i’;
- 每个元音 ‘o’ 后面只能跟着 ‘i’ 或者是 ‘u’;
- 每个元音 ‘u’ 后面只能跟着 ‘a’;
以上等价于每个字符的前一个字符的规则如下:
- 元音字母 ‘a’ 前面只能跟着 ‘e’,‘i’,‘u’;
- 元音字母 ‘e’ 前面只能跟着 ‘a’,‘i’;
- 每个元音 ‘i’ 前面只能跟着 ‘e’,‘o’;
- 每个元音 ‘o’ 前面只能跟着 ‘i’;
- 每个元音 ‘u’ 前面只能跟着 ‘o’,‘i’;
我们设 f[i][j] 代表当前长度为 i 且以字符 j 为结尾的字符串的数目,其中在此 j=0,1,2,3,4 分别代表元音字母 ‘a’,‘e’,‘i’,‘o’,‘u’




class Solution {
long mod = 1_000_000_007;
public int countVowelPermutation(int n) {
long[][] mat =
{
{0, 1, 0, 0, 0},
{1, 0, 1, 0, 0},
{1, 1, 0, 1, 1},
{0, 0, 1, 0, 1},
{1, 0, 0, 0, 0}
};
long[][] ans = {
{1},{1},{1},{1},{1}
};
int count = n - 1;
while(count > 0) {
if((count & 1) == 1) ans = mul(mat, ans);
mat = mul(mat, mat);
count >>= 1;
}
long res = 0;
for(int i = 0; i < 5; i++) {
res += ans[i][0];
}
return (int)(res % mod);
}
public long[][] mul(long[][] a, long[][] b) {
int rowa = a.length;
int colb = b[0].length;
int common = b.length;
long[][] ans = new long[rowa][colb];
for(int i = 0; i < rowa; i++) {
for(int j = 0; j < colb; j++) {
for(int k = 0; k < common; k++) {
ans[i][j] += a[i][k] * b[k][j];
ans[i][j] %= mod;
}
}
}
return ans;
}
}
以上就是Java数据结构之快速幂的实现的详细内容,更多关于Java快速幂的资料请关注我们其它相关文章!
